Spacecraft.PercentShadow() Method

Top 

Description

Returns a numerical value representing the percentage-of-shadow the Spacecraft encounters in its orbit with respect to the Spacecraft central body's shadow. The calculation is based on percentage of shadow the Spacecraft encounters during penetration into the penumbral region. Once into the umbral region the percentage of shadow is 100%. If the specified body is a member of the Earth-Moon system, the counterpart not specified will also be considered in shadow evaluation.

 

The three regions of the specified CelestialObject's shadow, the umbra, penumbra, and annular, are shown in the image below.  This method returns 100% when the Spacecraft is in the umbral shadow region, and 0% when the Spacecraft is in direct sunlight.

 

The three regions of a celestial body's shadow.

The three regions of a celestial body's shadow.

 

FreeFlyer's percent shadow calculation calculates percentage-of-shadow based on the area of the solar disk that can be seen by the Spacecraft.  The calculation is based on the following formulas:

 

 

 

Where:

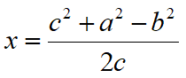
= The percentage-of-shadow

= The apparent angular radius of the Sun, in radians

= The apparent angular radius of the occulting body, in radians

= The apparent angular separation of the centers of both bodies, in radians

 

 

(1) Equation 3.92, Page 83 of Montenbruck, Oliver and Gill, Eberhard, Satellite Orbits: Models, Methods, and Applications, Springer-Verlag Berlin Heidelberg 2000, Corrected 4th printing 2012

(3) Equation 3.93, Page 83 of Montenbruck, Oliver and Gill, Eberhard, Satellite Orbits: Models, Methods, and Applications, Springer-Verlag Berlin Heidelberg 2000, Corrected 4th printing 2012

 

Timing Precision Mode

This page describes functionality in millisecond timing precision mode. Millisecond timing precision mode is deprecated and will be removed in a future release. We recommend that you migrate your Mission Plans to nanosecond timing precision mode.

Click here to see the documentation for this object in nanosecond timing precision mode.

 

Method Signature

Spacecraft.PercentShadow(

)

 

 

Return Value

Type:

number

 

 

Returns a numerical value representing the percentage-of-shadow the Spacecraft encounters in its orbit with respect to the specified CelestialObject's shadow.

 

Syntax

myVariable1 = mySpacecraft1.PercentShadow();

 

 

Example 1

 

 

See also

Spacecraft Object

Spacecraft.PercentShadow

Spacecraft Propagation Guide

Coverage and Contact Analysis Guide